英文名稱:N-(2,4-Dinitrophenyl)-6-aminohexanoic Acid
分子式:C12H15N3O6
分子量:297.26
英文名稱:1,1'-Diethyl-3,3,3',3'-tetramethylindocarbocyanine Iodide
分子式:C27H33In2
分子量:512.47
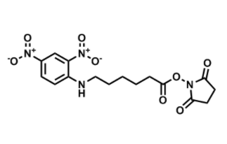
英文名稱:N-Succinimidyl N-(2,4-dinitrophenyl)-6-aminocaproate
分子式:C16H18N4O8
分子量:394.34
英文名稱:2-[2-[2-(2-Bromoethoxy)ethoxy]ethoxy]-ethanol
分子式:C8H17BrO4
分子量:257.12